Este viernes 3 de mayo se publicó en el Diario Oficial la remuneración total mínima para los profesionales de la educación que se desempeñen en establecimientos educacionales subvencionados y de administración delegada para el año 2024.
Cabe destacar que según un decreto con fuerza de ley del Ministerio de Educación (Mineduc), en enero de cada año se realiza un reajuste en la remuneración total mínima para los profesionales de la educación en establecimientos municipales, particulares subvencionados y técnico-profesionales.
Debido a que la variación anual del Índice de Precios al Consumidor (IPC) fue del 3,9% el año pasado, en este 2024 la remuneración total mínima será incrementada para todos los trabajadores del ámbito educacional.
¿Quieres conocer el aumento de la remuneración mínima para profesores? A continuación te lo contamos en detalles a través de RedNews de RedGol.
Sube la remuneración mínima para profesores en Chile: Cuál es el monto y a quiénes beneficia
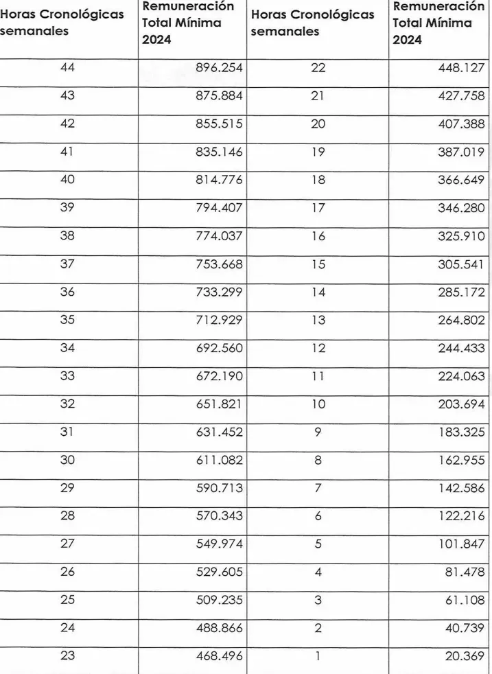
Las actuales cifras corresponden al año 2024, “para aquellos profesionales de la educación que tengan una designación o contrato inferior a 44 horas cronológicas semanales”:

Remuneraciones
¿Quiénes recibe el aumento de la remuneración para profesores?
La ley publicada en el Diario Oficial fija el monto de la “Remuneración Total Mínima para el año 2024, en la suma de $896.254.- (ochocientos noventa y seis mil doscientos cincuenta y cuatro pesos), para los profesionales de la educación que integren una dotación docente o que se desempeñen en establecimientos educacionales subvencionados conforme al decreto con fuerza de ley Nº 2, de 1998, del Ministerio de Educación, o cuya administración fue delegada en virtud del decreto ley Nº 3.166, de 1980”, según se especifica.
Puedes leer en detalles la Norma General CVE 2486502 publicada en el Diario Oficial en relación con las remuneraciones mínimas para profesores en este 2024.




